Produktbeskrivelse
Engelsk navn: Voclosporin
CAS-nummer: 515814-01-4
Engelske synonymer:Isatx 247;Isatx247;Isatx-247;Luveniq;Lx211;R 1524;Voclosporin;Voclosporin [usan]
Molekylformel: C63H111N11O12
Molekylvekt: 1214,65
EINECS-nummer
Relatert kategori:
Polypeptidhemmere; Farmasøytiske råvarer; Belka main; Wuhan Belka viktigste; Mellomprodukter og finkjemikalier; Peptider; Farmasøytiske produkter; API
Mol fil: 515814-01-4.mol
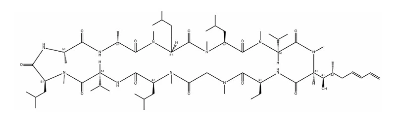
Strukturformel:

Volciclosporin egenskaper
Kokepunkt: 1303,8±65,0 grader (spådd)
Tetthet: 1,016±0,06 g/cm3 (anslått)
Lagringstilstand: StoreChemicalbookat-20 grader
Løselighet: benzen (spor), metanol (spor)
Form: solid
Forutsagt surhetskoeffisient (pKa): 13,32±0,70
Farge: Hvit til nesten hvit
Bruk og syntese av volcyklin
Calcineurin-hemmere
Voklosporin er en ny kalsineurinhemmer, som strukturelt er en analog av cyklosporin A. Etter modifisering økes aktiviteten med 3-4 ganger. Dessuten har den en dobbel og synergistisk mekanisme. Det kan blokkere uttrykket av IL-2 og immunresponsen mediert av TChemicalbook-celler, og stabilisere nyre-podocellulære celler. Volciklosporin har også fordelen av å ha mindre effekt på kolesterol og triglyserider og lavere risiko for diabetes sammenlignet med ciklosporin. I februar 2021 ble Volciclosporin godkjent av FDA for et kombinert immunsuppressivt behandlingsregime hos voksne pasienter med aktiv lupusnefritt. ?
Biologisk aktivitet
Voklosporin (ISAtx-247) er en kalsineurinenzym (CN; PP2B) hemmer. ?
Målpunkt
Calcineurin
In vitro studie
Denne nyemi-syntetiske kalsineurin(CN)-hemmeren er utpekt som voklosporin(ISATX247). Effektiviteten av voklosporiner som et immunsuppressivt middel Kjemikaliebok undersøkes ved bruk av en invitrokalsineurin-analyse.
In vivo studie
Alle dyr tåler Voclosporin (ISATX247) og Cyclosporine A(CsA) veldig godt. Det er alvorlige negative effekter assosiert med stoffet. I Voclosporinggruppen har alle dyr unntatt 1 hatt diaré av forskjellige varigheter i løpet av studien (gjennomsnittlig 2,3 kjemikalier) albookdays, range2to7days).Dette skiller seg fra CsAogkontrollgruppene,der ingen dyr har hatt diaré.Gjennomsnittlig vekttap ved slutten av studien er litt høyere iVoclosporinggruppen enn iCsAogkontrollgruppene(3,4% mot 2,0%og1,0%).
Populære tags: voclosporin ny type calcineurin inhibitor, Kina voclosporin ny type calcineurin inhibitor leverandører

