Mal-peg 2- vcp-eribulininhibitorer har antitumoraktivitet
Engelsk navn: mal-peg 2- vcp-eribulin
CAS -nummer: 2130869-18-8
Engelsk synonym:
Mal-peg 2- vcp-eribulin; L-ornithinamide, N-[3- [2- [2- (2, 5- dihydro -2, 5- dioxo -1 H-Pyrrol {}} -1} H-Pyrrol {}}}} eth-pyrrol {}} {12} år {° 3R, 3AS, 7R, 8AS, 9S, 10AR, 11S, 12R, 13AR, 13BS, 15S, 18S, 21S, 24S, 26R, 28R, 29AS) -OCTACOSAHYDRO -3- metoxy -26- Methyl {}}, {-26- metyl {{47}, 27- bis (metylen) -5- oxo -11, 15:18, 21:24, 2 ...; Mal-peg 2- vc-pab-eribulin; Eribulin+Linker
Engelsk navn: mal-peg 2- vcp-eribulin
CAS -nummer: 2130869-18-8
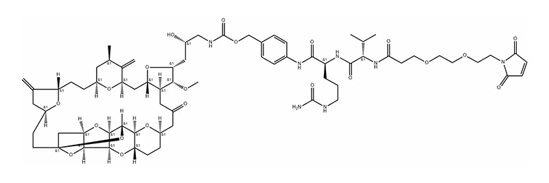
Molekylær formel: C70H99N7O21
Molekylvekt: 1374,59
Molekylær struktur:

Mal-peg 2- vcp-eribulinegenskaper
Tetthet: 1,35 ± 0. 1 g/cm3 (forutsagt)
Form: solid
Surhetskoeffisient (PKA): 11,93 ± 0. 46 (forutsagt)
Farge: Hvit til hvit
Populære tags: Mal-PEG 2- VCP-eribulininhibitorer har antitumoraktivitet, China Mal-PEG 2- VCP-eribulin-hemmere har antitumoraktivitetsleverandører